RU
RU
EN
Navigation
Каталог
Ключи и пин-коды
IP-телефония
Игры
Карты
Мобильная связь
Платежные системы
Спутниковое ТВ
Программное обеспечение
Adobe Creative Cloud
PC
Безопасность
Игры
Интернет
Мобильная связь
Мобильное ПО
Мультимедиа и графика
Образование, наука, техника
Программирование
Продвижение сайтов (SEO)
Редакторы
Утилиты
Цифровые товары
App Store & iTunes
Базы данных
Дизайн
Доступ к ресурсам
Игровые аккаунты
Криптоиндустрия
Подарочные сертификаты
Разное
Системы активной рекламы
Социальные сети
Видео и аудиокурсы, уроки
Приглашения /инвайты
Хостинг
Шаблоны для сайтов
Электронные книги
Бизнес и экономика
Дом, быт, семья, досуг
Искусство и культура
Компьютеры и интернет
Наука и образование
Продвижение сайтов
Словари, справочники, энциклопедии
Техническая литература
Художественная литература
Юридическая литература
XBOX
Коды активации
Услуги активации
App Store & iTunes
App Store & iTunes Russia
App Store & iTunes Europe
App Store & iTunes USA
STEAM
Аккаунты Steam
Steam Gift Card
Пополнение счета
CS:GO
Аккаунты CS:GO
Ключи активации
Игровые предметы
WOT
Бонус-коды
Золото
Услуги
Правила
Карта сайта
Мои покупки
Вход
×
Здесь будут показаны Ваши закладки.
Закладки (Очистить все)
Электронные книги
Бизнес и экономика
Дом, быт, семья, досуг
Искусство и культура
Компьютеры и интернет
Наука и образование
Английский язык
Астрология
Аттестация работников
Биология
В помощь абитуриенту
В помощь аспиранту
В помощь студенту
География
Геология
Дипломы
Диссертации
Иностранные языки
Информатика
История
Карты и атласы
Конспекты, шпаргалки
Контрольные работы
Культурология
Курсовые работы
Математика
Музыкальная литература
Ответы на тесты
Педагогика
Политология
Практические работы
Психология
Религии
Рефераты
Русский язык и культура речи
Социология
Сочинения
Учебники для техникумов и вузов
Учебники для школы
Физика
Философия
Химия
Чертежи
Экология
Экономика
Этика, эстетика
Продвижение сайтов
Словари, справочники, энциклопедии
Техническая литература
Художественная литература
Юридическая литература
Наука и образование
Математика
: 13982
Сортировка:
Лучший выбор
Лучший выбор
Цена
Цена (убывание)
Рейтинг продавца (убывание)
Название (А-Я)
Название (Я-А)
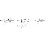
15 вариант идз 8.3 Рябушко А.П решение
Derkach
1
114 ₽
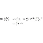
19 вариант идз 6.1 Рябушко А.П решение
1
Derkach
1
115 ₽
25 вариант идз 6.3 Рябушко А.П решение
Derkach
1
87.73 ₽
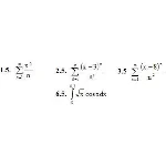
2 вариант идз 8.3 Рябушко А.П решение
1
Derkach
1
119 ₽
2 вариант идз 8.4 Рябушко А.П решение
Derkach
1
97.74 ₽
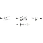
26 вариант идз 8.3 Рябушко А.П решение
Derkach
1
88 ₽
Рябушко А.П. ИДЗ 15.2 Вариант 30
1
9
Timur_ed
0
52 ₽
Рябушко А.П. ИДЗ 15.2 Вариант 25
1
13
Timur_ed
0
52 ₽
9 вариант идз 9.3 Рябушко А.П решение
Derkach
1
116 ₽
11 вариант идз 11.1 Рябушко А.П решение
Derkach
1
88 ₽
5 вариант идз 9.3 Рябушко А.П решение
Derkach
1
88 ₽
30 вариант идз 9.3 Рябушко А.П решение
Derkach
1
88 ₽
30 вариант идз 2.1 Рябушко А.П решение
Derkach
1
88 ₽
26 вариант идз 9.3 Рябушко А.П решение
1
Derkach
1
113 ₽
Рябушко А.П. ИДЗ 13.3 вариант 26
1
8
Timur_ed
0
54 ₽
ИДЗ 12.2 – Вариант 1. Решения Рябушко А.П.
4
Massimo86
0
140 ₽
ИДЗ 12.2 – Вариант 2. Решения Рябушко А.П.
21
Massimo86
0
140 ₽
ИДЗ 12.2 – Вариант 3. Решения Рябушко А.П.
14
Massimo86
0
140 ₽
ИДЗ 12.2 – Вариант 4. Решения Рябушко А.П.1
14
Massimo86
0
140 ₽
ИДЗ 12.2 – Вариант 5. Решения Рябушко А.П.
12
Massimo86
0
140 ₽
ИДЗ 12.2 – Вариант 6. Решения Рябушко А.П.
1
14
Massimo86
0
140 ₽
ИДЗ 12.2 – Вариант 7. Решения Рябушко А.П.
15
Massimo86
0
140 ₽
ИДЗ 12.2 – Вариант 8. Решения Рябушко А.П.
13
Massimo86
0
140 ₽
ИДЗ 12.2 – Вариант 9. Решения Рябушко А.П.
15
Massimo86
0
140 ₽
ИДЗ 12.2 – Вариант 10. Решения Рябушко А.П.
5
Massimo86
0
140 ₽
ИДЗ 12.2 – Вариант 11. Решения Рябушко А.П.
16
Massimo86
0
140 ₽
ИДЗ 12.2 – Вариант 12. Решения Рябушко А.П.
9
Massimo86
0
140 ₽
ИДЗ 12.2 – Вариант 13. Решения Рябушко А.П.
5
Massimo86
0
140 ₽
ИДЗ 12.2 – Вариант 14. Решения Рябушко А.П.
11
Massimo86
0
140 ₽
ИДЗ 12.2 – Вариант 15. Решения Рябушко А.П.
1
17
Massimo86
0
140 ₽
ИДЗ 12.2 – Вариант 16. Решения Рябушко А.П.
5
Massimo86
0
140 ₽
ИДЗ 12.2 – Вариант 17. Решения Рябушко А.П.
5
Massimo86
0
140 ₽
ИДЗ 12.2 – Вариант 18. Решения Рябушко А.П.
7
Massimo86
0
140 ₽
ИДЗ 12.2 – Вариант 19. Решения Рябушко А.П.
1
8
Massimo86
0
140 ₽
ИДЗ 12.2 – Вариант 20. Решения Рябушко А.П.
17
Massimo86
0
140 ₽
ИДЗ 12.2 – Вариант 21. Решения Рябушко А.П.
12
Massimo86
0
140 ₽
ИДЗ 12.2 – Вариант 22. Решения Рябушко А.П.
8
Massimo86
0
140 ₽
ИДЗ 12.2 – Вариант 23. Решения Рябушко А.П.
12
Massimo86
0
140 ₽
ИДЗ 12.2 – Вариант 24. Решения Рябушко А.П.
4
Massimo86
0
140 ₽
ИДЗ 12.2 – Вариант 25. Решения Рябушко А.П.
2
Massimo86
0
140 ₽
ИДЗ 12.2 – Вариант 26. Решения Рябушко А.П.
2
Massimo86
0
140 ₽
ИДЗ 12.2 – Вариант 27. Решения Рябушко А.П.
2
Massimo86
0
140 ₽
ИДЗ 12.2 – Вариант 28. Решения Рябушко А.П.
1
Massimo86
0
140 ₽
ИДЗ 12.2 – Вариант 29. Решения Рябушко А.П.
2
Massimo86
0
140 ₽
ИДЗ 12.2 – Вариант 30. Решения Рябушко А.П.
5
Massimo86
0
140 ₽
ИДЗ 12.3 – Вариант 1. Решения Рябушко А.П.
8
Massimo86
0
140 ₽
ИДЗ 12.3 – Вариант 2. Решения Рябушко А.П.
1
14
Massimo86
0
140 ₽
ИДЗ 12.3 – Вариант 3. Решения Рябушко А.П.
9
Massimo86
0
140 ₽
ИДЗ 12.3 – Вариант 4. Решения Рябушко А.П.
10
Massimo86
0
140 ₽
ИДЗ 12.3 – Вариант 5. Решения Рябушко А.П.
23
Massimo86
0
140 ₽
ИДЗ 12.3 – Вариант 6. Решения Рябушко А.П.
1
12
Massimo86
0
140 ₽
ИДЗ 12.3 – Вариант 7. Решения Рябушко А.П.
19
Massimo86
0
140 ₽
ИДЗ 12.3 – Вариант 8. Решения Рябушко А.П.
10
Massimo86
0
140 ₽
ИДЗ 12.3 – Вариант 9. Решения Рябушко А.П.
1
12
Massimo86
0
140 ₽
ИДЗ 12.3 – Вариант 10. Решения Рябушко А.П.
1
7
Massimo86
0
140 ₽
ИДЗ 12.3 – Вариант 11. Решения Рябушко А.П.
10
Massimo86
0
140 ₽
ИДЗ 12.3 – Вариант 12. Решения Рябушко А.П.
6
Massimo86
0
140 ₽
ИДЗ 12.3 – Вариант 13. Решения Рябушко А.П.
10
Massimo86
0
140 ₽
ИДЗ 12.3 – Вариант 14. Решения Рябушко А.П.
13
Massimo86
0
140 ₽
ИДЗ 12.3 – Вариант 15. Решения Рябушко А.П.
18
Massimo86
0
140 ₽
ИДЗ 12.3 – Вариант 16. Решения Рябушко А.П.
8
Massimo86
0
140 ₽
ИДЗ 12.3 – Вариант 17. Решения Рябушко А.П.
11
Massimo86
0
140 ₽
ИДЗ Рябушко 11.3 Вариант 13
13
roman_fleiteng
0
150 ₽
ИДЗ 12.3 – Вариант 18. Решения Рябушко А.П.
12
Massimo86
0
140 ₽
ИДЗ 12.3 – Вариант 19. Решения Рябушко А.П.
8
Massimo86
0
140 ₽
ИДЗ 12.3 – Вариант 20. Решения Рябушко А.П.
16
Massimo86
0
140 ₽
ИДЗ 12.3 – Вариант 21. Решения Рябушко А.П.
12
Massimo86
0
140 ₽
ИДЗ 12.3 – Вариант 22. Решения Рябушко А.П.
13
Massimo86
0
140 ₽
ИДЗ 12.3 – Вариант 23. Решения Рябушко А.П.
1
12
Massimo86
0
140 ₽
ИДЗ 12.3 – Вариант 24. Решения Рябушко А.П.
7
Massimo86
0
140 ₽
ИДЗ 12.3 – Вариант 25. Решения Рябушко А.П.
6
Massimo86
0
140 ₽
ИДЗ 12.3 – Вариант 26. Решения Рябушко А.П.
5
Massimo86
0
140 ₽
ИДЗ 12.3 – Вариант 27. Решения Рябушко А.П.
7
Massimo86
0
140 ₽
ИДЗ 12.3 – Вариант 28. Решения Рябушко А.П.
4
Massimo86
0
140 ₽
ИДЗ 12.3 – Вариант 29. Решения Рябушко А.П.
3
Massimo86
0
140 ₽
ИДЗ 12.3 – Вариант 30. Решения Рябушко А.П.
5
Massimo86
0
140 ₽
ИДЗ Рябушко 11.1 Вариант 5
16
roman_fleiteng
0
167 ₽
ИДЗ Рябушко 13.1 Вариант 6
19
roman_fleiteng
0
134 ₽
ИДЗ Рябушко 13.1 Вариант 13
5
roman_fleiteng
0
120 ₽
3 вариант идз 13.1 Рябушко А.П решение
Derkach
1
88 ₽
49
50
51
52
53