RU
RU
EN
Navigation
Каталог
Ключи и пин-коды
IP-телефония
Игры
Карты
Мобильная связь
Платежные системы
Спутниковое ТВ
Программное обеспечение
PC
Безопасность
Игры
Интернет
Мобильная связь
Мобильное ПО
Мультимедиа и графика
Образование, наука, техника
Программирование
Продвижение сайтов (SEO)
Редакторы
Утилиты
Цифровые товары
App Store & iTunes
Базы данных
Дизайн
Доступ к ресурсам
Игровые аккаунты
Криптоиндустрия
Подарочные сертификаты
Разное
Системы активной рекламы
Социальные сети
Видео и аудиокурсы, уроки
Приглашения /инвайты
Хостинг
Шаблоны для сайтов
Электронные книги
Бизнес и экономика
Дом, быт, семья, досуг
Искусство и культура
Компьютеры и интернет
Наука и образование
Продвижение сайтов
Словари, справочники, энциклопедии
Техническая литература
Художественная литература
Юридическая литература
XBOX
Коды активации
Услуги активации
App Store & iTunes
App Store & iTunes Russia
App Store & iTunes Europe
App Store & iTunes USA
STEAM
Аккаунты Steam
Steam Gift Card
Пополнение счета
CS:GO
Аккаунты CS:GO
Ключи активации
Игровые предметы
WOT
Бонус-коды
Золото
Услуги
Правила
Карта сайта
Мои покупки
Вход
×
Здесь будут показаны Ваши закладки.
Закладки (Очистить все)
Электронные книги
Бизнес и экономика
Дом, быт, семья, досуг
Искусство и культура
Компьютеры и интернет
Наука и образование
Английский язык
Астрология
Аттестация работников
Биология
В помощь абитуриенту
В помощь аспиранту
В помощь студенту
География
Геология
Дипломы
Диссертации
Иностранные языки
Информатика
История
Карты и атласы
Конспекты, шпаргалки
Контрольные работы
Культурология
Курсовые работы
Математика
Музыкальная литература
Ответы на тесты
Педагогика
Политология
Практические работы
Психология
Религии
Рефераты
Русский язык и культура речи
Социология
Сочинения
Учебники для техникумов и вузов
Учебники для школы
Физика
Философия
Химия
Чертежи
Экология
Экономика
Этика, эстетика
Продвижение сайтов
Словари, справочники, энциклопедии
Техническая литература
Художественная литература
Юридическая литература
Наука и образование
Контрольные работы
: 8858
Сортировка:
Лучший выбор
Лучший выбор
Цена
Цена (убывание)
Рейтинг продавца (убывание)
Название (А-Я)
Название (Я-А)
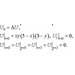
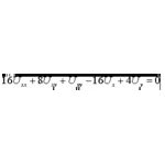
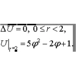
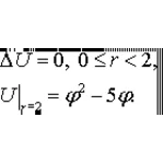
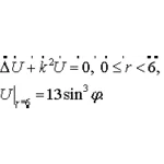
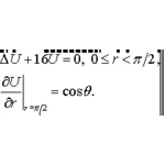
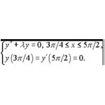
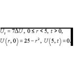
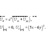
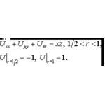
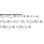
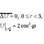
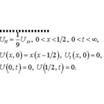
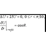
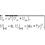
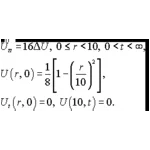
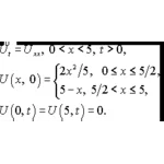
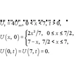
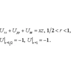
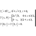
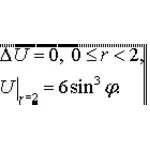
Решение задачи 16.12 из раздела 3 УМФ автор Чудесенко В
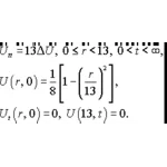
13
Chudesenko
0
82 ₽
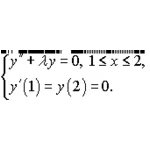
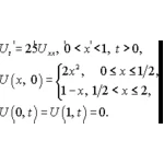
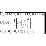
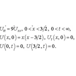
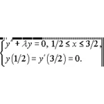
Решение задачи 1.13 из раздела 3 УМФ автор Чудесенко В
2
23
Chudesenko
0
63 ₽
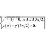
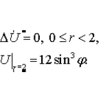
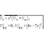
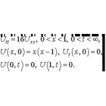
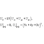
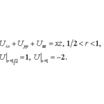
Решение задачи 3.13 из раздела 3 УМФ автор Чудесенко ВФ
1
19
Chudesenko
0
63 ₽
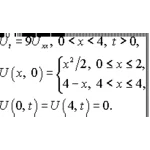
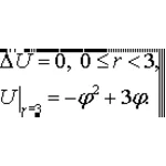
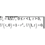
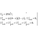
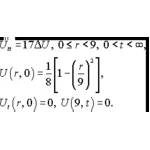
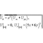
Решение задачи 2.13 из раздела 3 УМФ автор Чудесенко В
1
28
Chudesenko
0
63 ₽
Решение задачи 4.13 из раздела 3 УМФ автор Чудесенко В
1
18
Chudesenko
0
63 ₽
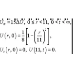
Решение задачи 4.13(2005) 3 УМФ автор Чудесенко В.Ф.
8
Chudesenko
0
91 ₽
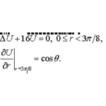
Решение задачи 6.13 из раздела 3 УМФ автор Чудесенко В
8
Chudesenko
0
63 ₽
Решение задачи 7.13 из раздела 3 УМФ автор Чудесенко В
8
Chudesenko
0
63 ₽
Решение задачи 5.13 из раздела 3 УМФ автор Чудесенко В
1
24
Chudesenko
0
90 ₽
Решение задачи 8.13 из раздела 3 УМФ автор Чудесенко В
4
Chudesenko
0
63 ₽
Решение задачи 9.13 из раздела 3 УМФ автор Чудесенко В
45
Chudesenko
0
91 ₽
Решение задачи 10.13 из раздела 3 УМФ автор Чудесенко В
15
Chudesenko
0
91 ₽
Решение задачи 11.13 из раздела 3 УМФ автор Чудесенко В
1
7
Chudesenko
0
63 ₽
Решение задачи 12.13 из раздела 3 УМФ автор Чудесенко В
34
Chudesenko
0
91 ₽
Решение задачи 3.14 из раздела 3 УМФ автор Чудесенко В
16
Chudesenko
0
63 ₽
Решение задачи 16.13 из раздела 3 УМФ автор Чудесенко В
11
Chudesenko
0
63 ₽
Решение задачи 13.13 из раздела 3 УМФ автор Чудесенко В
10
Chudesenko
0
63 ₽
Решение задачи 14.13 из раздела 3 УМФ автор Чудесенко В
9
Chudesenko
0
59.8 ₽
Решение задачи 15.13 из раздела 3 УМФ автор Чудесенко В
7
Chudesenko
0
63 ₽
Решение задачи 1.14 из раздела 3 УМФ автор Чудесенко В
19
Chudesenko
0
63 ₽
Решение задачи 2.14 из раздела 3 УМФ автор Чудесенко В
20
Chudesenko
0
63 ₽
Решение задачи 4.14 из раздела 3 УМФ автор Чудесенко В
12
Chudesenko
0
65 ₽
Решение задачи 4.14(2005) 3 УМФ автор Чудесенко В.Ф.
8
Chudesenko
0
63 ₽
Решение задачи 5.14 из раздела 3 УМФ автор Чудесенко В
17
Chudesenko
0
63 ₽
Решение задачи 6.14 из раздела 3 УМФ автор Чудесенко В
4
Chudesenko
0
63 ₽
Решение задачи 7.14 из раздела 3 УМФ автор Чудесенко В
8
Chudesenko
0
63 ₽
Решение задачи 8.14 из раздела 3 УМФ автор Чудесенко В
3
Chudesenko
0
87 ₽
Решение задачи 9.14 из раздела 3 УМФ автор Чудесенко В
30
Chudesenko
0
91 ₽
Решение задачи 10.14 из раздела 3 УМФ автор Чудесенко В
12
Chudesenko
0
91 ₽
Решение задачи 11.14 из раздела 3 УМФ автор Чудесенко В
7
Chudesenko
0
65 ₽
Решение задачи 4.15 из раздела 3 УМФ автор Чудесенко В
23
Chudesenko
0
63 ₽
Решение задачи 4.15(2005) 3 УМФ автор Чудесенко В.Ф.
14
Chudesenko
0
63 ₽
Решение задачи 5.15 из раздела 3 УМФ автор Чудесенко В
19
Chudesenko
0
63 ₽
Решение задачи 6.15 из раздела 3 УМФ автор Чудесенко В
7
Chudesenko
0
63 ₽
Решение задачи 7.15 из раздела 3 УМФ автор Чудесенко В
7
Chudesenko
0
63 ₽
Решение задачи 8.15 из раздела 3 УМФ автор Чудесенко В
3
Chudesenko
0
65 ₽
Решение задачи 9.15 из раздела 3 УМФ автор Чудесенко В
39
Chudesenko
0
63 ₽
Решение задачи 10.15 из раздела 3 УМФ автор Чудесенко В
12
Chudesenko
0
63 ₽
Решение задачи 11.15 из раздела 3 УМФ автор Чудесенко В
11
Chudesenko
0
63 ₽
Решение задачи 14.14 из раздела 3 УМФ автор Чудесенко В
8
Chudesenko
0
65 ₽
Решение задачи 12.14 из раздела 3 УМФ автор Чудесенко В
32
Chudesenko
0
91 ₽
Решение задачи 13.15 из раздела 3 УМФ автор Чудесенко В
14
Chudesenko
0
63 ₽
Решение задачи 15.15 из раздела 3 УМФ автор Чудесенко В
9
Chudesenko
0
63 ₽
Решение задачи 4.16(2005) 3 УМФ автор Чудесенко В.Ф.
1
6
Chudesenko
0
59.8 ₽
Решение задачи 11.16 из раздела 3 УМФ автор Чудесенко В
3
Chudesenko
0
63 ₽
Решение задачи 13.14 из раздела 3 УМФ автор Чудесенко В
10
Chudesenko
0
63 ₽
Решение задачи 15.14 из раздела 3 УМФ автор Чудесенко В
9
Chudesenko
0
63 ₽
Решение задачи 16.14 из раздела 3 УМФ автор Чудесенко В
10
Chudesenko
0
63 ₽
Решение задачи 1.15 из раздела 3 УМФ автор Чудесенко В
18
Chudesenko
0
85 ₽
Решение задачи 2.15 из раздела 3 УМФ автор Чудесенко В
24
Chudesenko
0
85 ₽
Решение задачи 3.15 из раздела 3 УМФ автор Чудесенко В
19
Chudesenko
0
85 ₽
Решение задачи 12.15 из раздела 3 УМФ автор Чудесенко В
30
Chudesenko
0
63 ₽
Решение задачи 14.15 из раздела 3 УМФ автор Чудесенко В
13
Chudesenko
0
63 ₽
Решение задачи 16.15 из раздела 3 УМФ автор Чудесенко В
10
Chudesenko
0
63 ₽
Решение задачи 1.16 из раздела 3 УМФ автор Чудесенко В
1
15
Chudesenko
0
85 ₽
Решение задачи 2.16 из раздела 3 УМФ автор Чудесенко В
1
15
Chudesenko
0
85 ₽
Решение задачи 3.16 из раздела 3 УМФ автор Чудесенко В
10
Chudesenko
0
63 ₽
Решение задачи 5.16 из раздела 3 УМФ автор Чудесенко В
10
Chudesenko
0
63 ₽
Решение задачи 6.16 из раздела 3 УМФ автор Чудесенко В
2
Chudesenko
0
63 ₽
Решение задачи 7.16 из раздела 3 УМФ автор Чудесенко В
3
Chudesenko
0
63 ₽
Решение задачи 8.16 из раздела 3 УМФ автор Чудесенко В
Chudesenko
0
63 ₽
Решение задачи 9.16 из раздела 3 УМФ автор Чудесенко В
29
Chudesenko
0
63 ₽
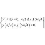
Решение задачи 2.17 из раздела 3 УМФ автор Чудесенко В
17
Chudesenko
0
91 ₽
Решение задачи 3.17 из раздела 3 УМФ автор Чудесенко В
11
Chudesenko
0
91 ₽
Решение задачи 4.17 из раздела 3 УМФ автор Чудесенко В
9
Chudesenko
0
91 ₽
Решение задачи 4.17(2005) 3 УМФ автор Чудесенко В.Ф.
12
Chudesenko
0
65 ₽
Решение задачи 5.17 из раздела 3 УМФ автор Чудесенко В
13
Chudesenko
0
91 ₽
Решение задачи 12.16 из раздела 3 УМФ автор Чудесенко В
2
1
24
Chudesenko
0
95 ₽
Решение задачи 13.16 из раздела 3 УМФ автор Чудесенко В
4
Chudesenko
0
63 ₽
Решение задачи 9.17 из раздела 3 УМФ автор Чудесенко В
24
Chudesenko
0
91 ₽
Решение задачи 11.17 из раздела 3 УМФ автор Чудесенко В
6
Chudesenko
0
91 ₽
Решение задачи 12.17 из раздела 3 УМФ автор Чудесенко В
23
Chudesenko
0
91 ₽
Решение задачи 13.17 из раздела 3 УМФ автор Чудесенко В
5
Chudesenko
0
91 ₽
Решение задачи 14.16 из раздела 3 УМФ автор Чудесенко В
6
Chudesenko
0
59.8 ₽
Решение задачи 15.16 из раздела 3 УМФ автор Чудесенко В
7
Chudesenko
0
59.8 ₽
Решение задачи 1.17 из раздела 3 УМФ автор Чудесенко В
13
Chudesenko
0
91 ₽
Решение задачи 6.17 из раздела 3 УМФ автор Чудесенко В
5
Chudesenko
0
91 ₽
Решение задачи 7.17 из раздела 3 УМФ автор Чудесенко В
3
Chudesenko
0
91 ₽
Решение задачи 8.17 из раздела 3 УМФ автор Чудесенко В
1
1
Chudesenko
0
91 ₽
Решение задачи 14.17 из раздела 3 УМФ автор Чудесенко В
6
Chudesenko
0
91 ₽
11
12
13
14
15